• Предмет: Алгебра
  • Автор: Аноним
  • Вопрос задан 3 года назад

Мне нужна помощь .Помогите пожалуйста ришить уравнения .Пожалуйста не игнорте , некто помоч не хочет? Я уже устал делать одну математику , уже кучу примеров ,задач решил , времени не хватает на другие уроки .Я стараюсь успеть всё сделать вовремя .Пожалуйста помогите ,я буду очень благодарен Вам​

Приложения:

Simba2017: слишком много заданий
Аноним: хотябы чтото нужно решить ,хоть парочку уровнений
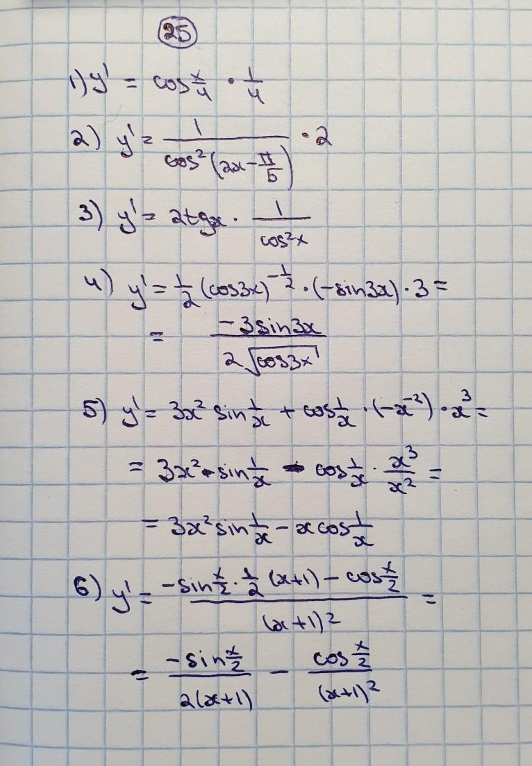
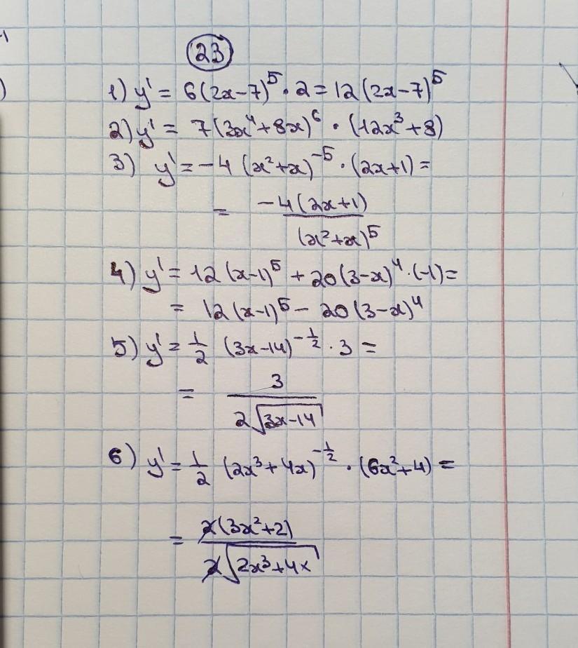
Аноним: √ 23 уравнение с √2-дальше сколько сможете
Simba2017: 23.2)y`=7(3x^4+8x)^6(12x^3+8)
Аноним: спасибо
Simba2017: 3)y=(x^2+x)^(-4); y`=-4(2x+1)/(x^2+x)^5
Simba2017: 4)y`=12(x-1)^5-20(3-x)^4
Simba2017: 25.1)y`=0.25cos(x/4)
Simba2017: 3)y`=2tgx/cos^2x
Аноним: спасибо большое .Очень сильно помогли .Спасибо

Ответы

Ответ дал: Miroslava227
1

Ответ:

решение на фотографии

Приложения:

Аноним: спасибо большое
Вас заинтересует