• Предмет: Математика
  • Автор: catprivatcat
  • Вопрос задан 3 года назад

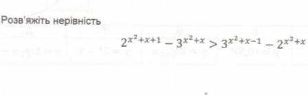
Допоможіть БУДЬ ЛАСКА розв'язати нерівність. ТЕРМІНОВО.
70 БАЛІВ.

Приложения:

Ответы

Ответ дал: Miroslava227
0

Ответ:

решение на фотографии

Приложения:
Вас заинтересует