• Предмет: Алгебра
  • Автор: catprivatcat
  • Вопрос задан 3 года назад

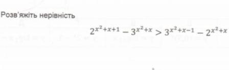
Розв'яжіть НЕРІВНІСТЬ, БУДЬ ЛАСКА.
ТЕРМІНОВО

Приложения:

Ответы

Ответ дал: Universalka
1

2^{x^{2}+x+1}-3^{x^{2}+x } >3^{x^{2}+x-1}-2^{x^{2}+x}\\\\2^{x^{2}+x}*2+2^{x^{2}+x}>3^{x^{2}+x}*\frac{1}{3}+3^{x^{2}+x}\\\\2^{x^{2}+x}*(2+1)>3^{x^{2}+x}*(\frac{1}{3}+1)\\\\2^{x^{2}+x}*3>3^{x^{2}+x}*\frac{4}{3}|:(3*3^{x^{2}+x})\\\\\frac{2^{x^{2}+x}*3}{3^{x^{2}+x}*3} >\frac{3^{x^{2}+x}*\frac{4}{3}}{3^{x^{2}+x}*3}\\\\(\frac{2}{3})^{x^{2}+x }>\frac{4}{9}\\\\(\frac{2}{3})^{x^{2}+x }>(\frac{2}{3})^{2}

0<\frac{2}{3}<1\Rightarrow x^{2}+x<2\\\\x^{2} +x-2<0\\\\(x+2)(x-1)<0

    +              -              +

______₀_______₀______

          - 2              1

            ///////////////

Ответ  : x ∈ (- 2 ; 1)

Вас заинтересует