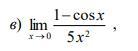
ПРЕДЕЛЫ! Помогите, пожалуйста. Необходимо вычислить данный предел, НЕ пользуясь правилом Лопиталя.
Приложения:

Ответы
Ответ дал:
2
Ответ:
ученикшколы17:
Спасибо большое, очень выручили!))
Вас заинтересует
2 года назад
2 года назад
2 года назад
2 года назад
7 лет назад
9 лет назад