• Предмет: Математика
  • Автор: ученикшколы17
  • Вопрос задан 3 года назад

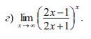
ПРЕДЕЛЫ! Помогите, пожалуйста. Необходимо вычислить данный предел, НЕ пользуясь правилом Лопиталя.

Приложения:

Ответы

Ответ дал: NNNLLL54
3

Ответ:

\lim\limits _{x \to \infty}\Big(\dfrac{2x-1}{2x+1}\Big)^{x}= \lim\limits_{x \to \infty}\Big(\Big(1+\dfrac{-2}{2x+1}\Big)^{\frac{2x+1}{-2}}\Big)^{\frac{-2x}{2x+1}}=e^{ \lim\limits_{x \to \infty}\frac{-2x}{2x+1}}=e^{-1}=\dfrac{1}{e}


ученикшколы17: Спасибо огромное!)
ученикшколы17: А Вы могли бы, пожалуйста, посмотреть ещё мой один выложенный вопрос тоже связанный с пределами?)
ученикшколы17: вот ссылка на вопрос https://znanija.com/task/39957584
Вас заинтересует