Ответы
Ответ дал:
1
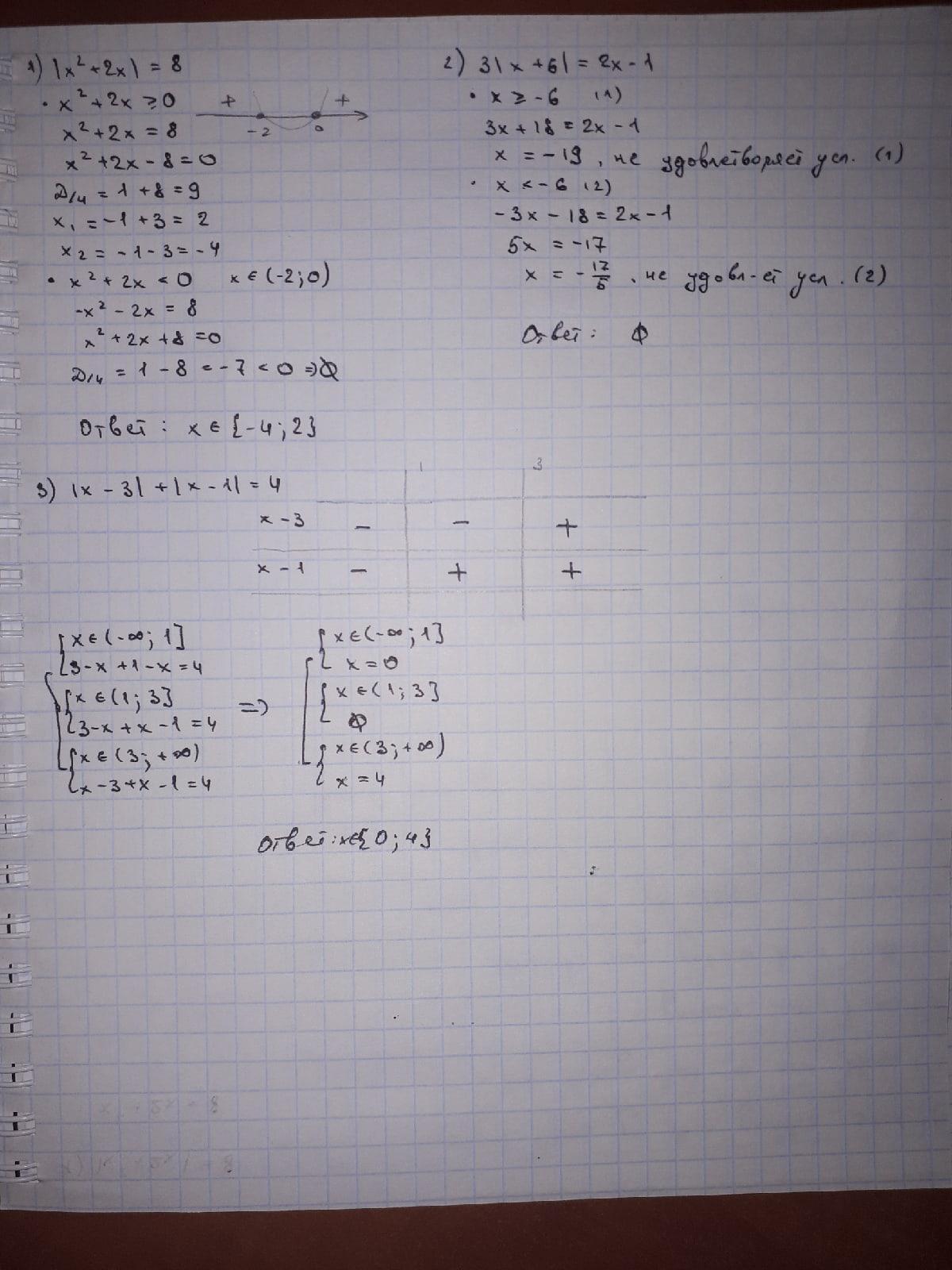
Ответ представлен в картинке
Приложения:

anjelinka50:
@Royal2000 в первом дискриминант разве такой????
Вас заинтересует
2 года назад
2 года назад
2 года назад
2 года назад
7 лет назад
7 лет назад