• Предмет: Алгебра
  • Автор: negaga1991
  • Вопрос задан 3 года назад

Решите уравнение пожалуйста

Приложения:

Ответы

Ответ дал: Miroslava227
2

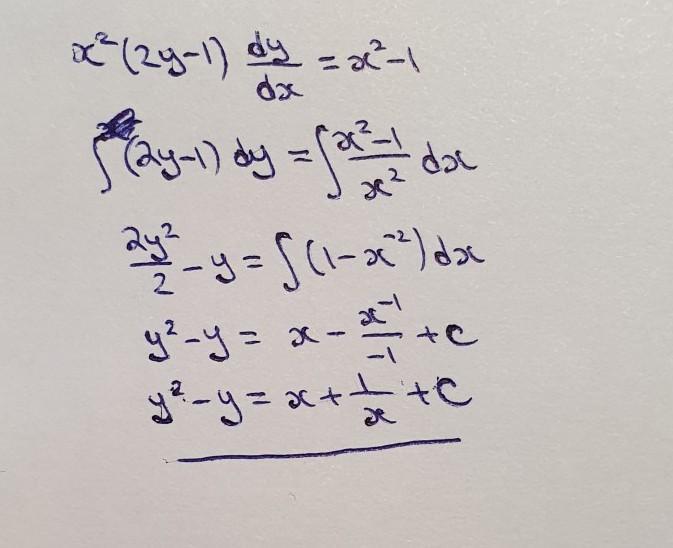
Ответ:

решение на фотографии

Приложения:
Вас заинтересует