• Предмет: Литература
  • Автор: filkaterina180
  • Вопрос задан 3 года назад

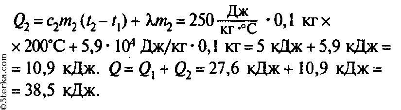
У залізній коробці масою 300г розплавили 100г олова. Яка початкова температура олова, якщо на нагрівання коробки й плавлення олова пішло 38,5кДж теплоти ? Будь ласка з повним поясненням и розписати. Дано:...​ Це фізика

Ответы

Ответ дал: muroslavaolefir088
7

На нагревание коробки пошло количество теплоты

Объяснение:

Приложения:

filkaterina180: а откуда 32°С ?
Вас заинтересует