• Предмет: Математика
  • Автор: trafimofazazar
  • Вопрос задан 3 года назад

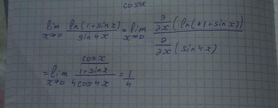
Решите пожалуйста предел!!!
lim x стремится к 0 ln(1+sinx)/sin4x

Ответы

Ответ дал: Lixu
1

Ответ:

1/4

 \frac{1}{4}

Приложения:
Вас заинтересует