• Предмет: Алгебра
  • Автор: Analisator
  • Вопрос задан 3 года назад

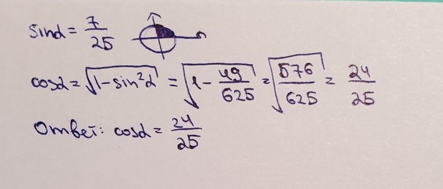
Найдите значение cosα, если известно, что sinα=\frac{7}{25} и α э I четверти

Ответы

Ответ дал: Miroslava227
0

Ответ:

решение на фотографии

Приложения:
Вас заинтересует