• Предмет: Химия
  • Автор: idiatov00
  • Вопрос задан 10 лет назад

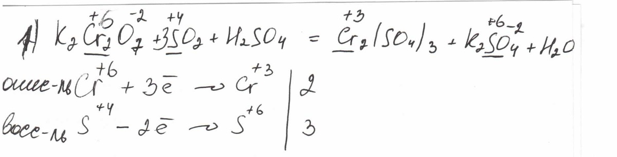
уравнять электронно-ионным методом,указать восстановитель и окислитель, 1) K2Cr2O2+SO2+H2SO4->Cr2(SO4)3+K2SO4+H2O
2) PbS+HNO3->Mg(NO3)2+N2+H2O

Ответы

Ответ дал: AscarisLumbricoides
0
вторую не могу...,,,,,,,,,,,
Приложения:
Вас заинтересует