• Предмет: Алгебра
  • Автор: Волк13452
  • Вопрос задан 3 года назад

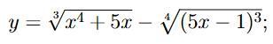
помогите найти производную!! СРОЧНО нужно

Приложения:

Ответы

Ответ дал: Miroslava227
0

Ответ:

решение на фотографии

Приложения:
Вас заинтересует