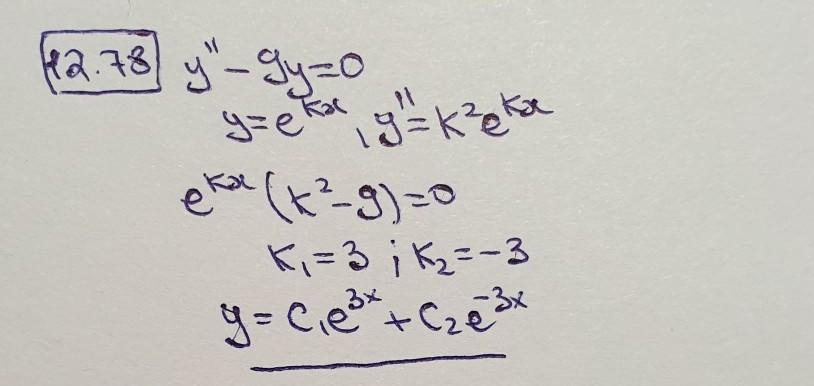
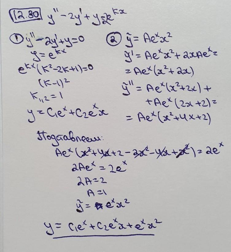
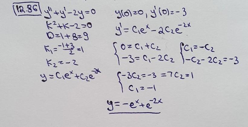
Решить дифференциальные уравнения 2 порядка.Если не сложно, ответы от руки пожалуйста.
Приложения:

Ответы
Ответ дал:
0
Ответ:
решение на фотографиях
Приложения:



Вас заинтересует
2 года назад
2 года назад
2 года назад
7 лет назад
7 лет назад
9 лет назад