• Предмет: Алгебра
  • Автор: ievlevandrey6
  • Вопрос задан 3 года назад

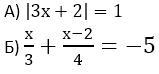
ПРОШУ ПОМОГИТЕ СРОЧНО НАДО Решите уравнение

Приложения:

Ответы

Ответ дал: table123
1

Ответ:

Объяснение:

A)  3x+2=1  или  3x+2=-1,  3x=-1  или  3x=-3,  x=-1/3  или  x=-1,  отв.  -1; -1/3

Б)умножим все на 12,   4x+3(x-2)=-60,  4x+3x-6=-60,   7x=-60+6,

7x=-54,  x=-54/7,  x=-7 5/7


ievlevandrey6: СПАСИБО ТЕБЕ
Вас заинтересует