• Предмет: Физика
  • Автор: stalker29062004i
  • Вопрос задан 3 года назад

ОЧЕНЬ СРОЧНО!!! ПОМОГИТЕ ПОЖАЛУЙСТА!! На гладкой горизонтальной поверхности находятся два груза массами m и 8m, связанные невесомой недеформированной пружиной жесткости k= 50 Н/м. Груз массой m удерживают, а грузу массой 8m сообщают скорость v0= 0,3м/с по направлению к легкому грузу. В тот момент, когда тяжелый груз останавливается, легкий груз отпускают.
Найдите максимальную скорость груза массой m в процессе движения.​

Ответы

Ответ дал: geo5723
0

Ответ:

0,8 м/с

Объяснение:

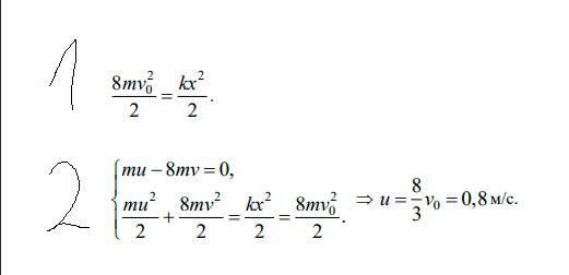
1)При начальном движении тяжелого груза к легкому пружина

деформируется и, ее максимальная деформация равна x.

2)После того, как легкий груз отпускают, начальные скорости обоих грузов равны  нулю. Пружина распрямляется и сообщает грузам кинетическую энергию.  Скорости грузов достигают максимальных значений u (груз массой m) и v (груз  массой 3m), когда пружина будет не деформирована.

(Решение во вложении)

Приложения:
Вас заинтересует