• Предмет: Математика
  • Автор: qs1s
  • Вопрос задан 3 года назад

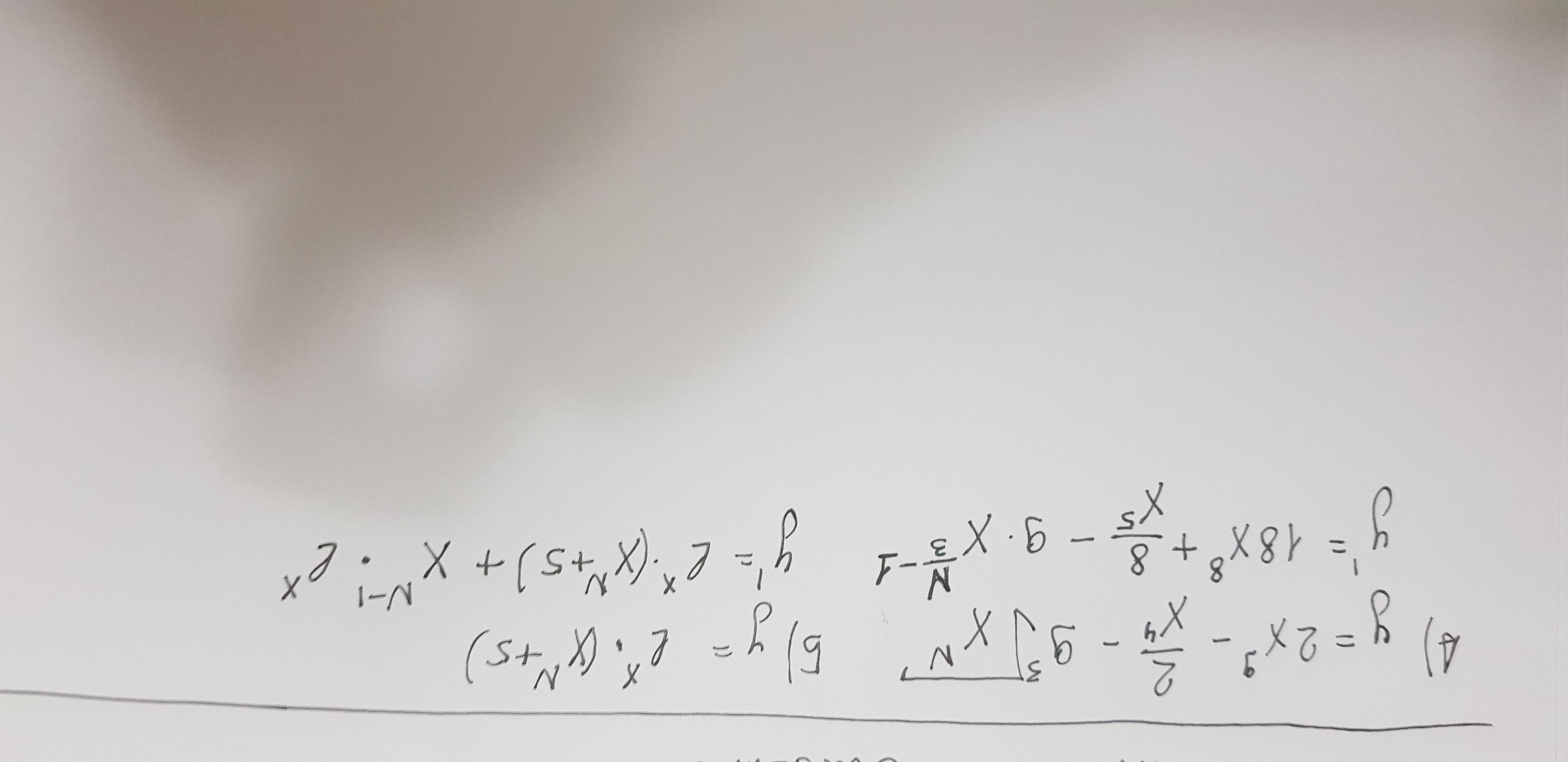
Найти производные данных функций (указывая используемые теоремы и формулы).

Приложения:

Ответы

Ответ дал: casper7777
1

Ответ:

Пошаговое объяснение:

Решил. Посмотрите на фото. Спасибо.

Приложения:
Вас заинтересует