• Предмет: Алгебра
  • Автор: dhudbehejeb
  • Вопрос задан 3 года назад

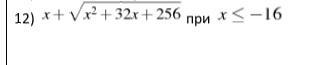
ПОМОГИТЕ РЕШИТЬ ПРИМЕР

Приложения:

Ответы

Ответ дал: vasyayaya
1

Ответ:

x+√(x+16)²

x+x+16

2x+16

2(x+8)

Если х<-16, то 2(-17+8)=-18

Если x=-16, то 2(-16+8)=-16

Объяснение:


kanmmu: При извлечении корня забыли модуль. Решение неправильное
vasyayaya: тут не нужен модуль..
Ответ дал: kanmmu
0

Ответ:

Объяснение:

Х+|Х+16| -получается, если извлечь корень

При х=<-16 подмодульное выражение меняет знак и получается

Х-Х-16=-16

Вас заинтересует