• Предмет: Математика
  • Автор: vuqiaqava
  • Вопрос задан 3 года назад

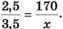
Знайди невідомий член пропорції:

Приложения:

Ответы

Ответ дал: 2000Blackcat
0

Відповідь:

x=170*3.5/2.5=238

Вас заинтересует