Ответы
Ответ дал:
0
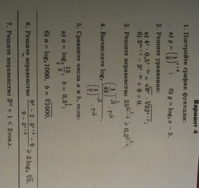
1) а) Это кривая с асимптотой -2 по у, точки пересечения осей - (0;-1) и (1;0).
б) точки пересечения осей - (-1;0) и (0;-1).
2) а)
*
=
*![sqrt[3]{81 ^{x+3} } sqrt[3]{81 ^{x+3} }](https://tex.z-dn.net/?f=+sqrt%5B3%5D%7B81+%5E%7Bx%2B3%7D+%7D+++)
*
=
*
Показатели степени при 3 складываем и приводим к общему знаменателю:
2x+3x-2 = (17x+24) / 6
30x-12 = 17x+24
13x = 36
x = 36/13
б) точки пересечения осей - (-1;0) и (0;-1).
2) а)
Показатели степени при 3 складываем и приводим к общему знаменателю:
2x+3x-2 = (17x+24) / 6
30x-12 = 17x+24
13x = 36
x = 36/13
Вас заинтересует
3 года назад
3 года назад
8 лет назад
8 лет назад
11 лет назад
11 лет назад
11 лет назад