• Предмет: Алгебра
  • Автор: soniabaksheeva
  • Вопрос задан 3 года назад

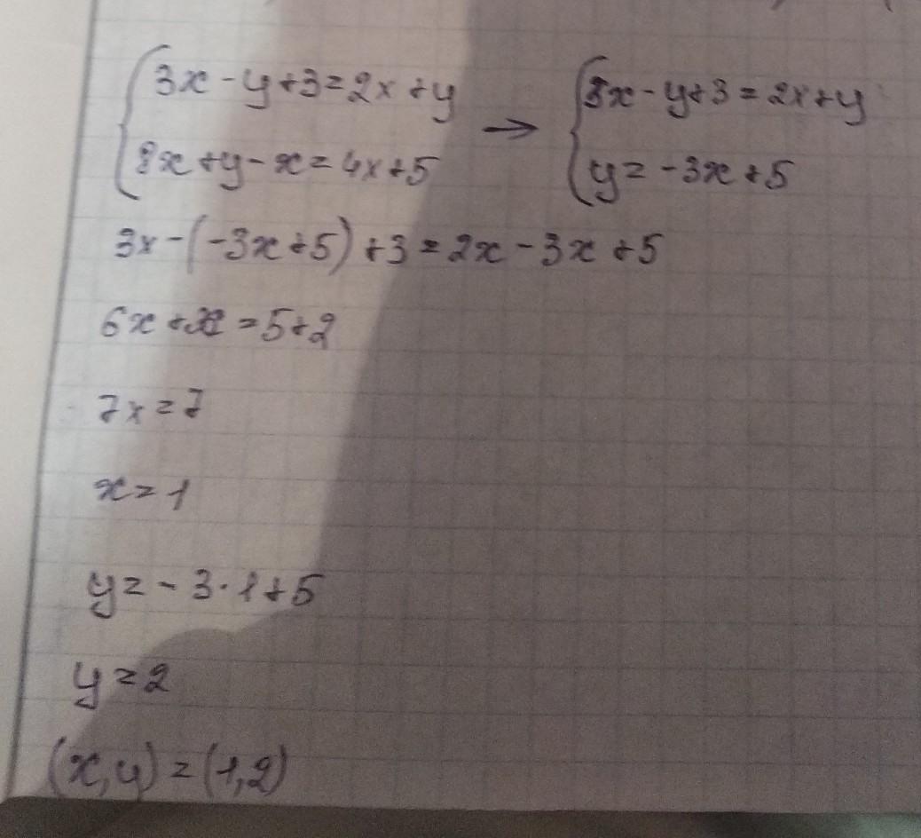
СРОЧНО 20 БАЛЛОВ
система уравнений
вроде 7 класс, но рил надо очень срочно, главное правильно, надеюсь кто-нибудь поможеь

Приложения:

vicktoriakoros5: надо просто решить 6 уравнений?
soniabaksheeva: это система уравнений, решается по другому, не 6 уравнений

Ответы

Ответ дал: ukrein71
0

Ответ:

должно быть правильно

Приложения:
Вас заинтересует