Алгебра 8 класс... ребят..рил прошу помогите. хотя бы с одним номером, просто не успеваю физически
Приложения:

Ответы
Ответ дал:
0
Ответ:
Объяснение:
Осталтные не загрузились.сори
Приложения:

Ответ дал:
1
Ответ:
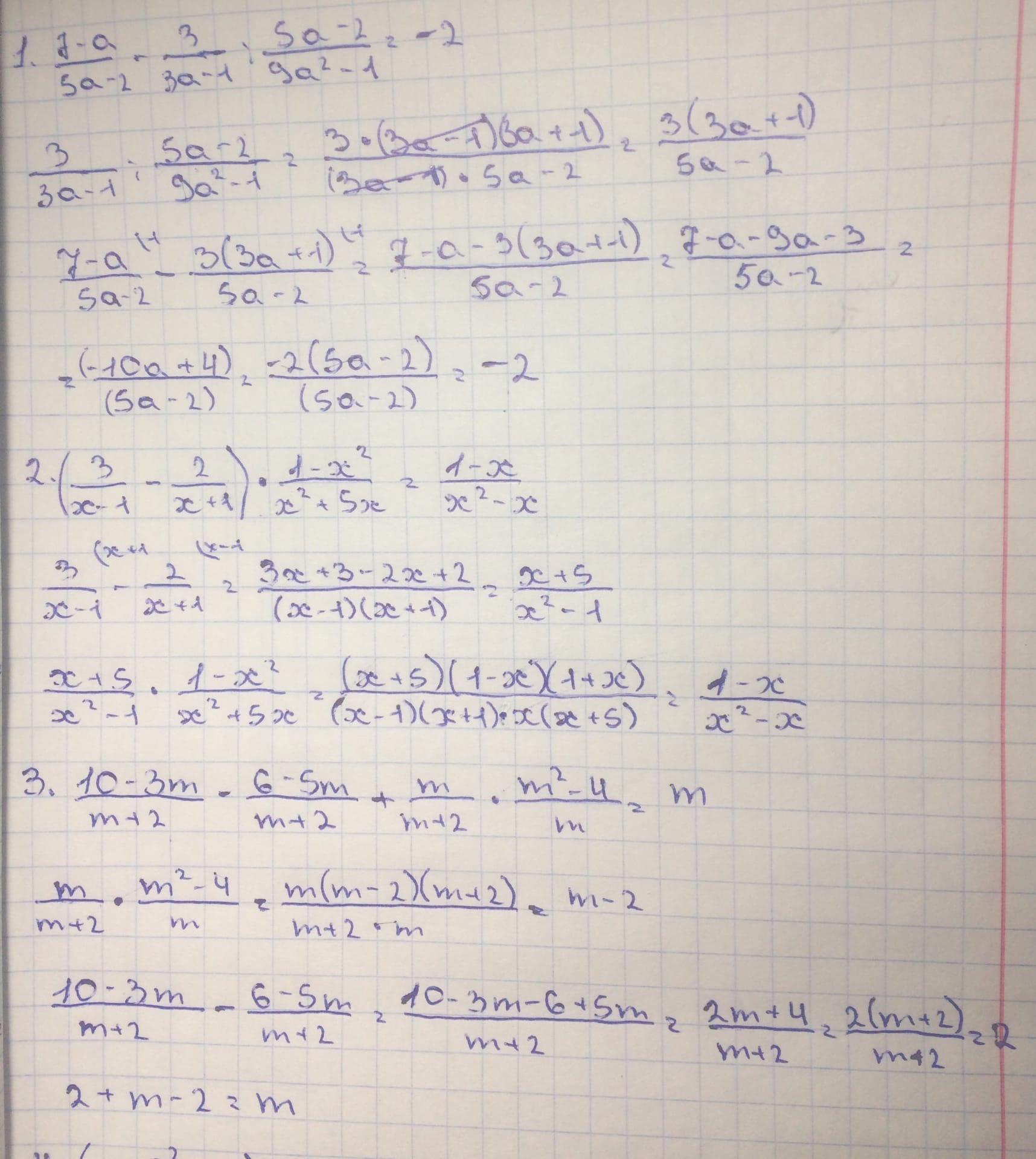
Сил хватило только на 3)))
Объяснение:
Приложения:

Вас заинтересует
2 года назад
2 года назад
2 года назад
7 лет назад
9 лет назад
9 лет назад