Ответы
Ответ дал:
1
Ответ:
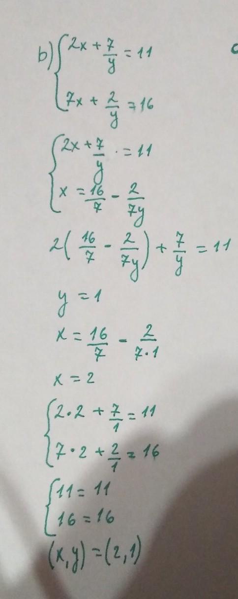
Только под b)
Под с) не смог решить, извини.
Приложения:

Вас заинтересует
2 года назад
2 года назад
2 года назад
7 лет назад
9 лет назад