Ответы
Ответ дал:
1
Ответ:
Объяснение:
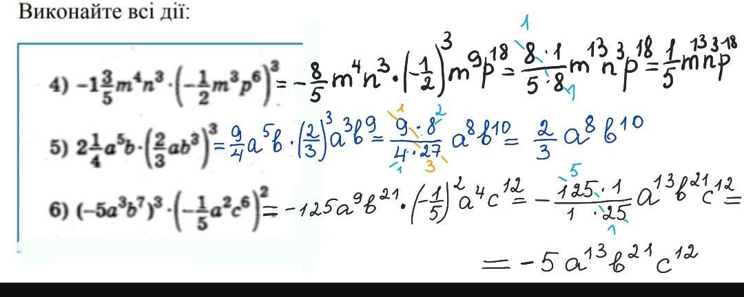
4. 8/5m^4n^3 × 1/8m^9p^18 = 1/5m^13n^3p^18
5. 9/4a^5b × 8/27a^3b^9 = 2/3 a^8 b^10
6. -125a^9b^21 × 1/25 a^4b^12 = -5a^13b^33
Приложения:

Аноним:
ето какой номер?
Ответ дал:
1
Ответ на прикреплённом файле.
Рекомендую сделать скрин))
Приложения:


Вас заинтересует
2 года назад
2 года назад
2 года назад
7 лет назад
7 лет назад
9 лет назад