• Предмет: Алгебра
  • Автор: Gina542
  • Вопрос задан 3 года назад

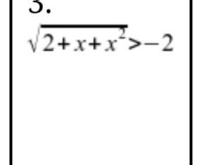
Помогите решить неравенство 10 класс

Приложения:

Ответы

Ответ дал: Miroslava227
1

Ответ:

Здесь достаточно найти ОДЗ, так как выражение под корнем всегда больше отрицательного числа. Дискриминант отрицательный => вся функция расположена над ОХ, и отсюда х - любое число.

Приложения:
Вас заинтересует