• Предмет: Математика
  • Автор: Son0fJah
  • Вопрос задан 3 года назад

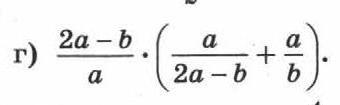
срочно решите задачу!!!!!!!!!

Приложения:

Ответы

Ответ дал: nlona90op
0

Ответ:

Пошаговое объяснение:

13(б

Вас заинтересует