• Предмет: Математика
  • Автор: peachyjazz
  • Вопрос задан 3 года назад


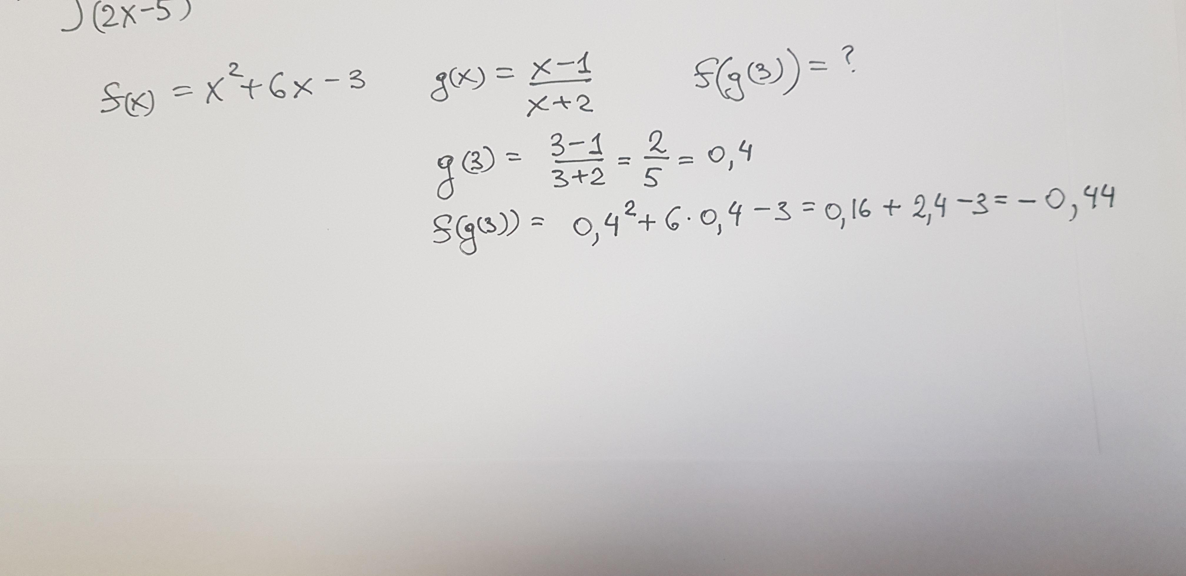
2. Пусть f(x) =х^2+6х-3 и g(x) =
х-1/+2

Найдите f(g(3)).


casper7777: Х-0,5 или (х-1)/2 ??
peachyjazz: это дробь
peachyjazz: *x-1/x+2

Ответы

Ответ дал: casper7777
2

Ответ:

Пошаговое объяснение:

Решено. На листочке.

Приложения:

peachyjazz: Спасибо ^~^
peachyjazz: У меня есть ещё 2 похожих невыполненных задания на странице,это всё одна контрольная,не могли бы вы помочь?
Аноним: Помоги мне
Аноним: Пж помоги
Вас заинтересует