• Предмет: Алгебра
  • Автор: dfdryftdt
  • Вопрос задан 3 года назад

Пожалуйста ребят хоть кто-нибудь решите прошу вас...
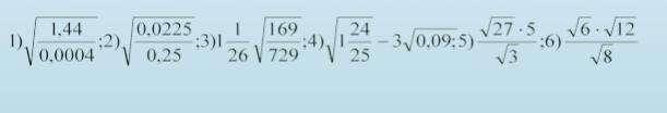
Найдите значение выражения:

Приложения:

Ответы

Ответ дал: arzenova06
1

Ответ:

1) 1,2/0,02=60

2) 0.15/0.5= 0.3

3) 27/26*13/27=1/2=0.5

4) \sqrt{49/25}-0.9=7/5-0.9=1.4-0.9=0.5

5) \sqrt{9*3}*5/\sqrt{3}=15\sqrt{3}*\sqrt{3}/\sqrt{3\\}*\sqrt{3}=15/3=5

6) \sqrt{6}*2\sqrt{3}/2\sqrt{2}=\sqrt{18}*\sqrt{2}/\sqrt{2}*\sqrt{2}=\sqrt{36}/2=6/2=3


dfdryftdt: спасибо!
arzenova06: пж можешь отметить как лучший?)
Ответ дал: angelinakramer483
1

Ответ:

1)равно 60

2)3/10

3)1/2

4)1/2

5)3корень5 или альтернативная форма 6,7082


dfdryftdt: спасибо
Вас заинтересует