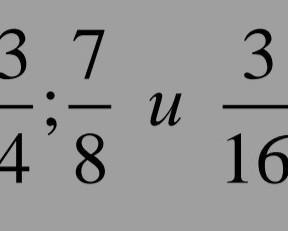
Приведите дроби к наименьшему общему знаменателю 3/4 ÷ 7/8 и 3/16
решите пожалуйста
Приложения:

MatemaX9:
при чем тут 3/4? там не деление а точка с запятой от предыдущего задания
Ответы
Ответ дал:
0
12/16
14/16
3/16
Вот и все собственно
Ответ дал:
0
Ответ:
12/16; 14/16 и 3/16
Пошаговое объяснение:
На все данные знаменатели можно поделить 16 без остатка, значит 16 и есть найменьший знаменатель, тогда:
3/4=12/16
7/8=14/16
3/16=3/16
Вас заинтересует
2 года назад
2 года назад
2 года назад
2 года назад
7 лет назад
7 лет назад
9 лет назад