Ответы
Ответ дал:
0
Ответ:
Объяснение:
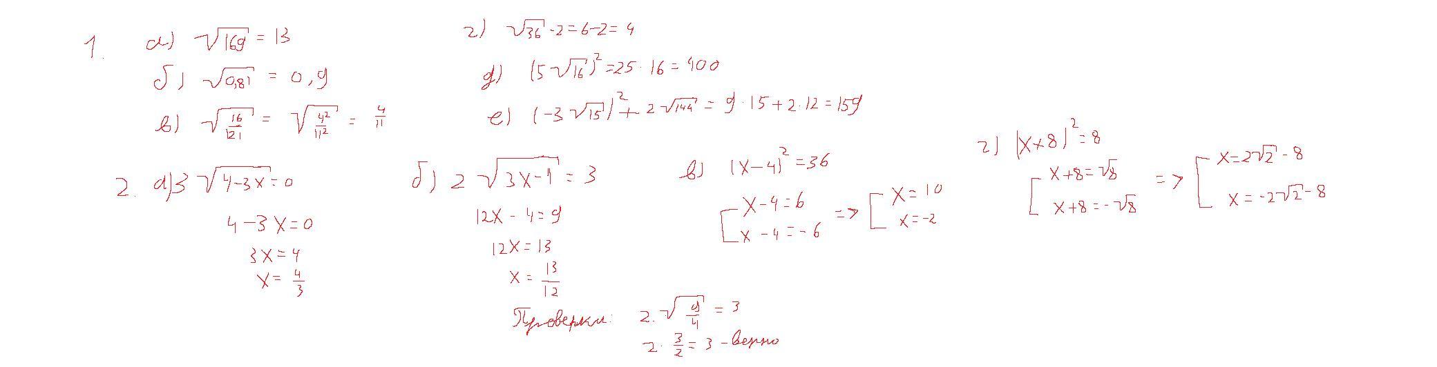
Решение в приложение, будут вопросы по решению - задавай
Приложения:

Вас заинтересует
2 года назад
2 года назад
2 года назад
2 года назад
7 лет назад