• Предмет: Математика
  • Автор: vikalmao
  • Вопрос задан 3 года назад

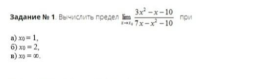
ОЧЕНЬ прошу помогите пожалуйста!!! Надо вычислить предел

Приложения:

Ответы

Ответ дал: manyny06
2

Ответ:

решение на фотографии

Приложения:
Вас заинтересует