• Предмет: Алгебра
  • Автор: Mary5055
  • Вопрос задан 3 года назад

СРОЧНО!
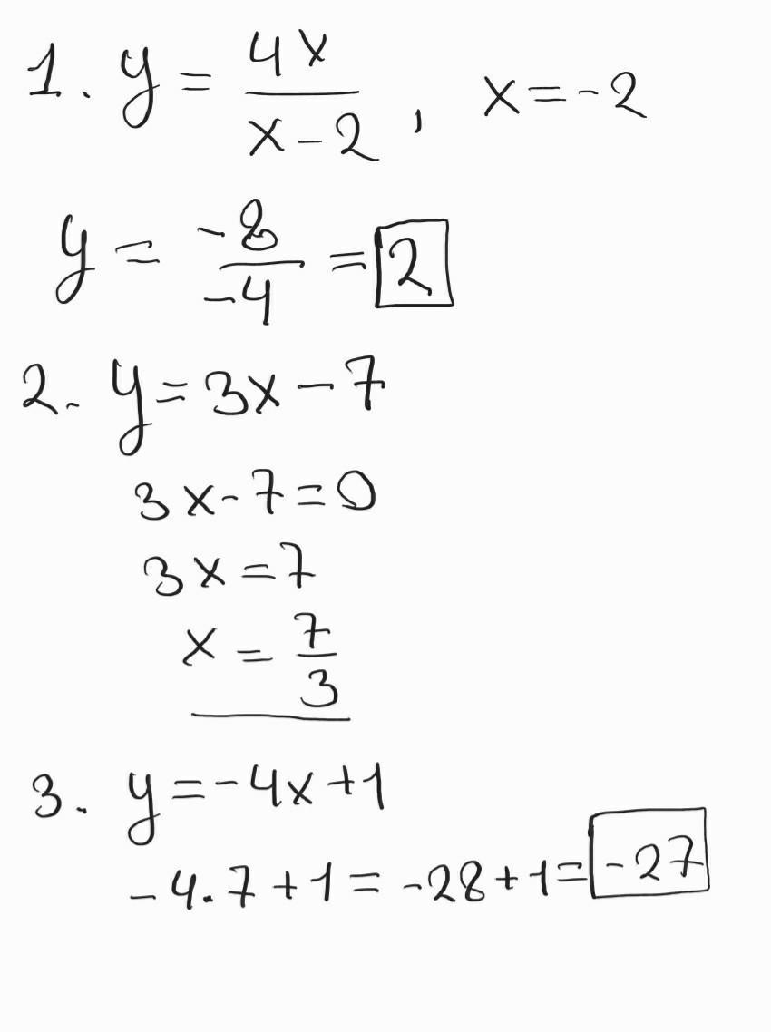
1.Функция задана формулой

y= 4х/х=-2

Найти ее значение при х = -2

2. Функция задана формулой

у = 3х - 7

Найти значение аргумента, при котором значение функции равно нулю

3. Функция задана формулой

у = - 4х + 1

Найти значение функции, если значение аргумента равно 7

Приложения:

Ответы

Ответ дал: TuristUbivaet
1

Ответ:

....................................

Приложения:
Вас заинтересует