• Предмет: Алгебра
  • Автор: dianaberezhnuk1901
  • Вопрос задан 3 года назад

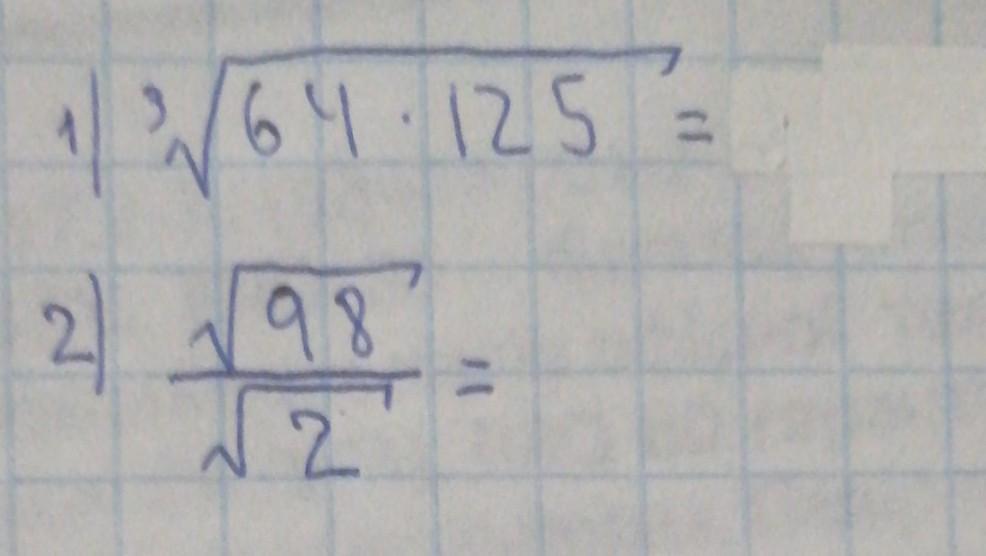
пожалуйста срочно полное решение ​

Приложения:

Ответы

Ответ дал: Nic122
0

Ответ:

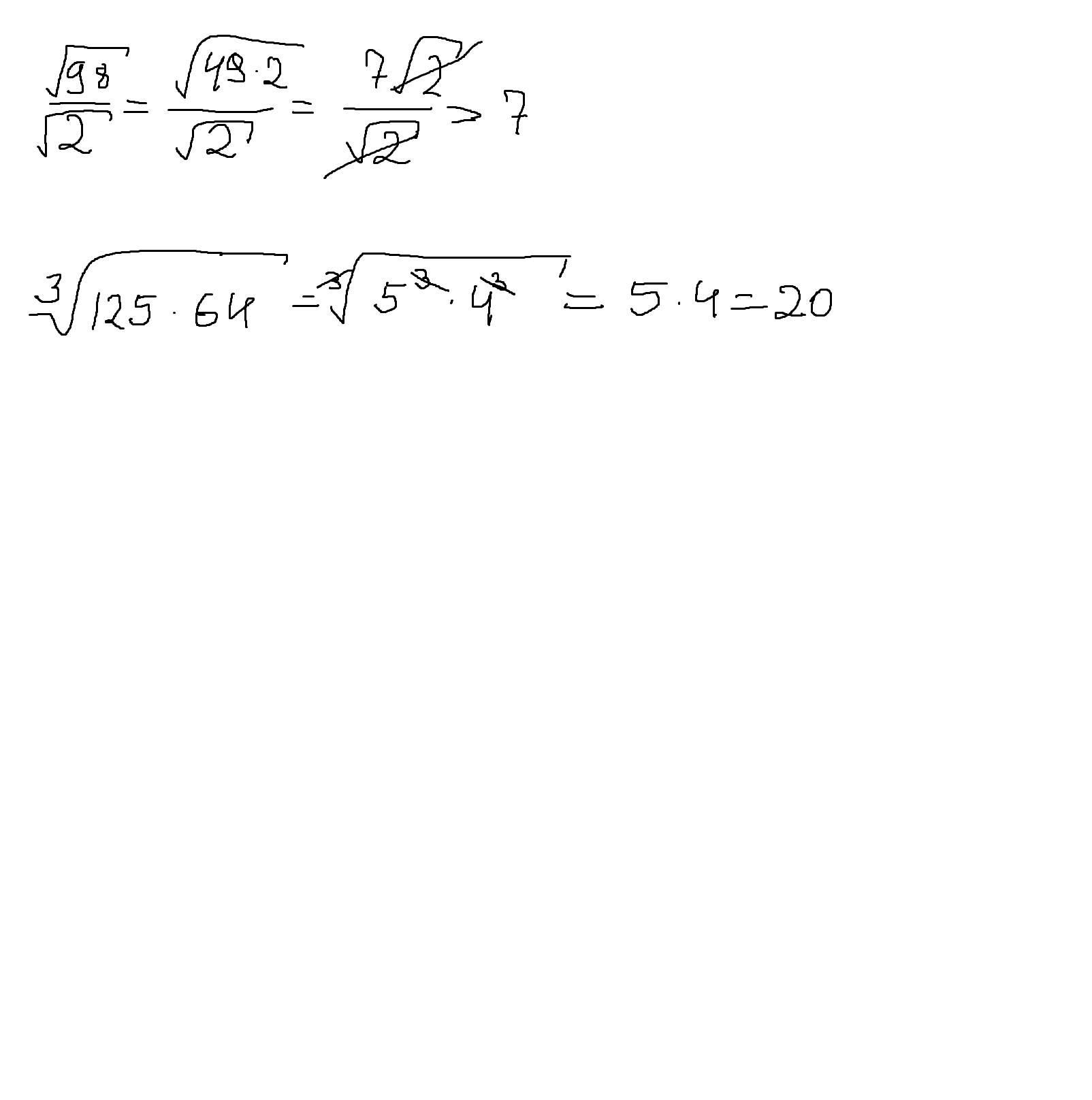
все на картинке

Объяснение:

Приложения:
Вас заинтересует