Решите показательные уравнения
1) 2^x=32
2) 2^(x-4)=64
3) (4/5)^x=25/16
4) 3^(x+2)-3^(x+1)+3^x=21
5) 2^(x+1)+4^x=80
6) 7^2x-6∙7^x+5=0
7) 3^2x-2∙3^x=3
Решите показательные неравенства
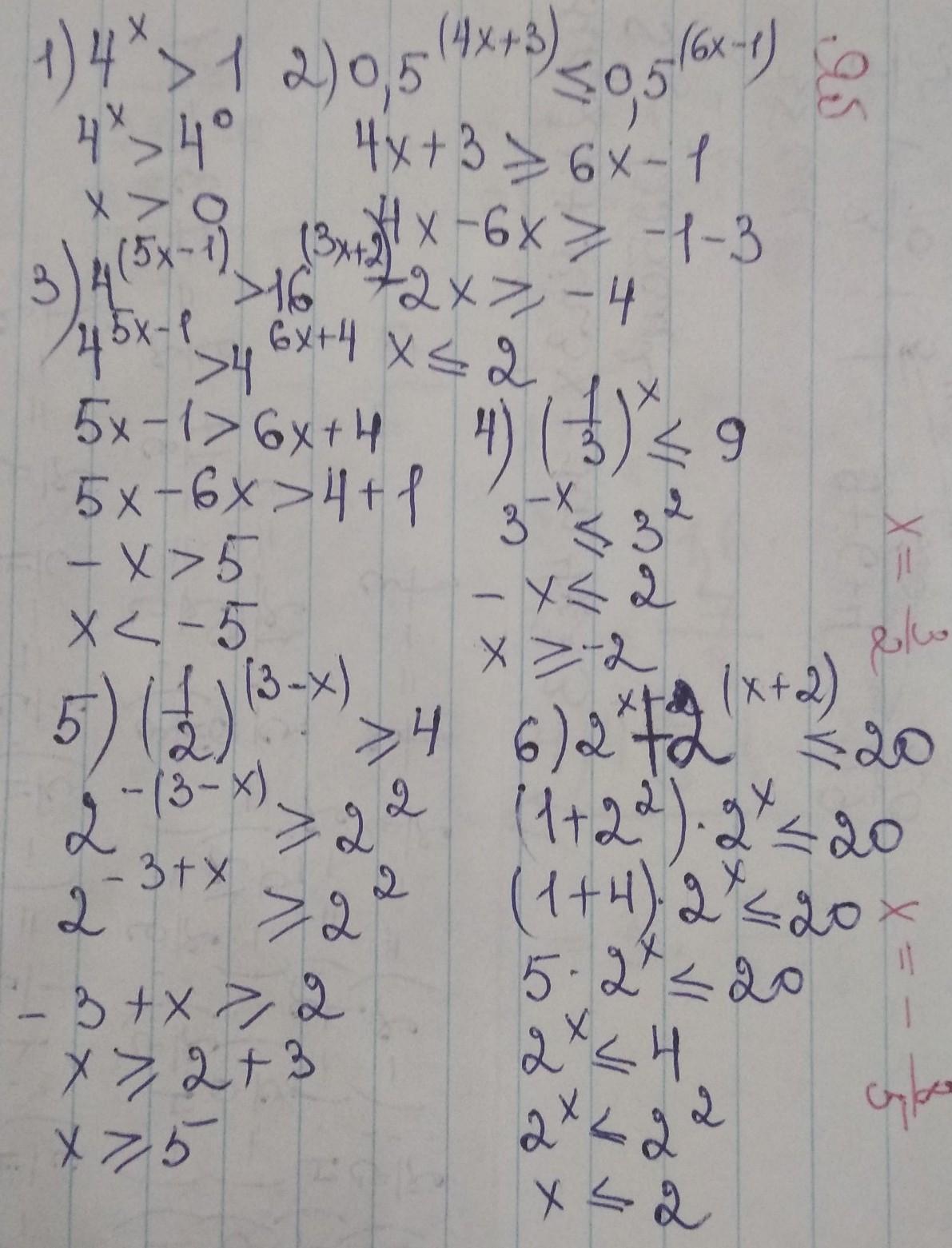
1) 4^x>1
2) 0,5 ^(4x+3)≤0,5^(6x-1)
3) 4^(5x-1)>16^(3x+2)
4) (1/3)^x≤9
5) (1/2)^(3-x)≥4
6) 2^x+2^(x+2)≤20
7) 3^2x-4∙3^x+3<0
Ответы
Ответ дал:
1
Ответ:
1)2^x=2⁵
2)2^x-4=2⁶
x-4=6
x=6+4
x=10
3)(4/5)^x=(4/5)^-2
4)(3²-3+1)*3^x=21
(9-3+1)*3^x=21
7*3^x=21
3x=3
3^x=3¹ x=1
5)2^x*2+(2²)^x=80
2^x*2+(2^x)²=80
t*2+t²=80
t=8
t=-10
2^x=8
2^x=-10
x=3
6)(7^x)²-6*7^x+5=0
t²-6t+5=0
7^x=5 7^x=1
x(двойка снизу)=log(7 тоже снизу) (5)
х(1 снизу)=0
7)(3^х)²-2*3^х=3
t²-2t=3
t=3 t=-1
3^x=3 3^x=-1
x=1
Приложения:

Вас заинтересует
2 года назад
2 года назад
7 лет назад
7 лет назад