• Предмет: Математика
  • Автор: kseniavergilesova
  • Вопрос задан 3 года назад

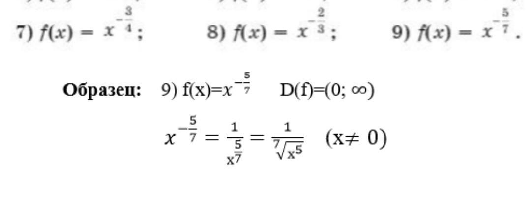
решите 7 и 8
спасибо за ранее​

Приложения:

Ответы

Ответ дал: angelinaudinceva4
1

Ответ:

7)

x= 3

4

x=0,75

смотри где x= там дробное 3 в 4

8) сейчас прикреплю фото

Приложения:
Вас заинтересует