• Предмет: Алгебра
  • Автор: MaEsTwick
  • Вопрос задан 3 года назад

Помогите, с рациональными дробями

Приложения:

Ответы

Ответ дал: Miа16
0

Ответ:

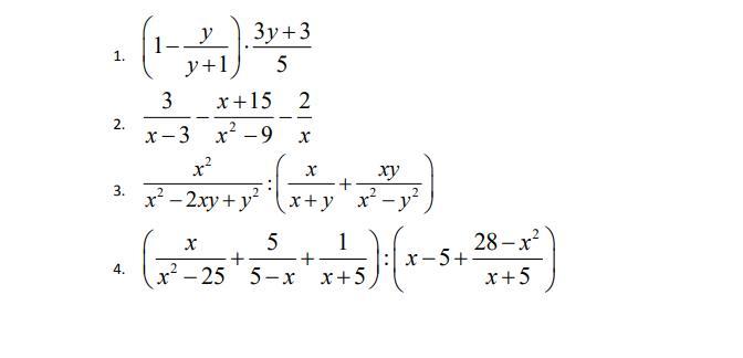
1) (1-\frac{y}{y+1} )*\frac{3y+3}{5} =\frac{y+1-y}{y+1} * \frac{3(y+1)}{5} = \frac{1}{y+1} * \frac{3(y+1)}{5} = \frac{3}{5}

2) \frac{3}{x-3} -\frac{x+15}{x^2-9} - \frac{2}{x} =\frac{3}{x-3} - \frac{x+15}{(x-3)*(x+3)} -\frac{2}{x} =\frac{3x*(x+3)-x*(x+15)-2(x-3)*(x+3)}{x*(x-3)*(x+3)} =

=\frac{3x^2+9x-x^2-15x-2(x^2-9)}{x*(x-3)*(x+3)} =\frac{3x^2+9x-x^2-15x-2x^2+18}{x*(x-3)*(x+3)} =\frac{0-6x+18}{x*(x-3)*(x+3)} =

= \frac{-6(x-3)}{x*(x-3)*(x+3)} = \frac{-6}{x*(x+3)} = -\frac{6}{x^2+3x}

3) \frac{x^2}{x^2-2xy+y^2} : ( \frac{x}{x+y} + \frac{xy}{x^2-y^2} )=\frac{x^2}{(x-y)^2} : ( \frac{x}{x+y} + \frac{xy}{(x-y)*(x+y)} )=\frac{x^2}{(x-y)^2} : \frac{x*(x-y)+xy}{(x-y)*(x+y)} =

=\frac{x^2}{(x-y)^2} : \frac{x^2-xy+xy}{(x-y)*(x+y)} =\frac{x^2}{(x-y)^2} : \frac{x^2}{(x-y)*(x+y)} =\frac{x^2}{(x-y)^2} * \frac{(x-y)*(x+y)}{x^2} =

= \frac{1}{x-y} *(x+y)= \frac{x+y}{x-y}

4)  (\frac{x}{x^2-25} + \frac{5}{5-x} + \frac{1}{x+5} ): ( x-5+ \frac{28-x^2}{x+5} )=(\frac{x}{(x-5)*(x+5)} + \frac{5}{-(x-5)} + \frac{1}{x+5} )*

*\frac{x*(x+5)-5(x+5)+28-x^2}{x+5} =(\frac{x}{(x-5)*(x+5)} -\frac{5}{x-5} + \frac{1}{x+5} ):\frac{x^2+5x-5x-25+28-x^2}{x+5} =

=\frac{x-5(x+5)+x-5}{(x-5)*(x+5)} : \frac{3}{x+5} =\frac{x-5x-25+x-5}{(x-5)*(x+5)} * \frac{x+5}{3} =\frac{-3x-30}{x-5} * \frac{1}{3} =\frac{3(-x-10)}{x-5} * \frac{1}{3} =

=\frac{-x-10}{x-5} = -\frac{x+10}{x-5}

Вас заинтересует