• Предмет: Алгебра
  • Автор: MAKSIMLARIN
  • Вопрос задан 3 года назад

15 баллов
Запиши ответы

Приложения:

Ответы

Ответ дал: Orangesss
3

Ответ:

1.\ (c^4)^6=c^{4*6}=c^{24}.\\2.\ ((c^2)^5)^7=c^{2*5*7}=c^{70}.\\3.\ (c^3)^2*(c^9)^4=c^{3*2}*c^{9*4}=c^6*c^{36}=c^{6+36}=c^{42}.

Объяснение:

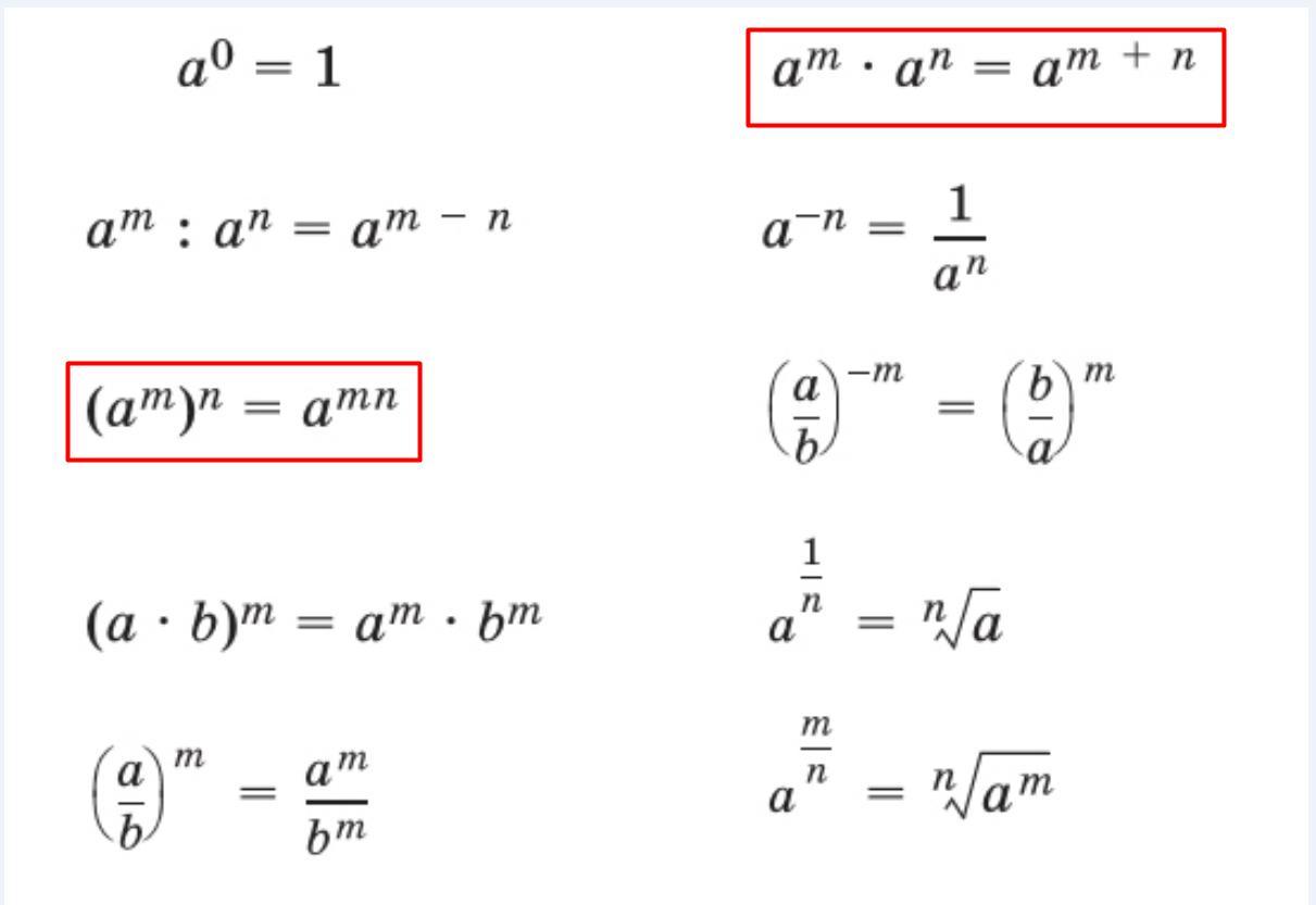
Смотрите основные свойства степеней. (Красным выделены те, которые использовались при решении).

Приложения:
Вас заинтересует