• Предмет: Математика
  • Автор: Irairakisa
  • Вопрос задан 3 года назад

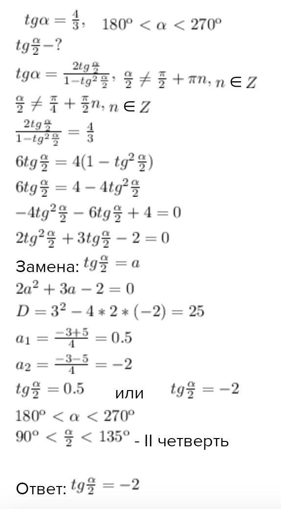
Найдите ѕіn а, если tg a = 2 и 180° <a < 270°.​


GlypiNchelovek: это разве 1-4 классы?

Ответы

Ответ дал: elisa2020
2

Ответ:

вот думаю ошибок нет..)

Приложения:
Вас заинтересует