• Предмет: Математика
  • Автор: svetlanabalashova198
  • Вопрос задан 3 года назад

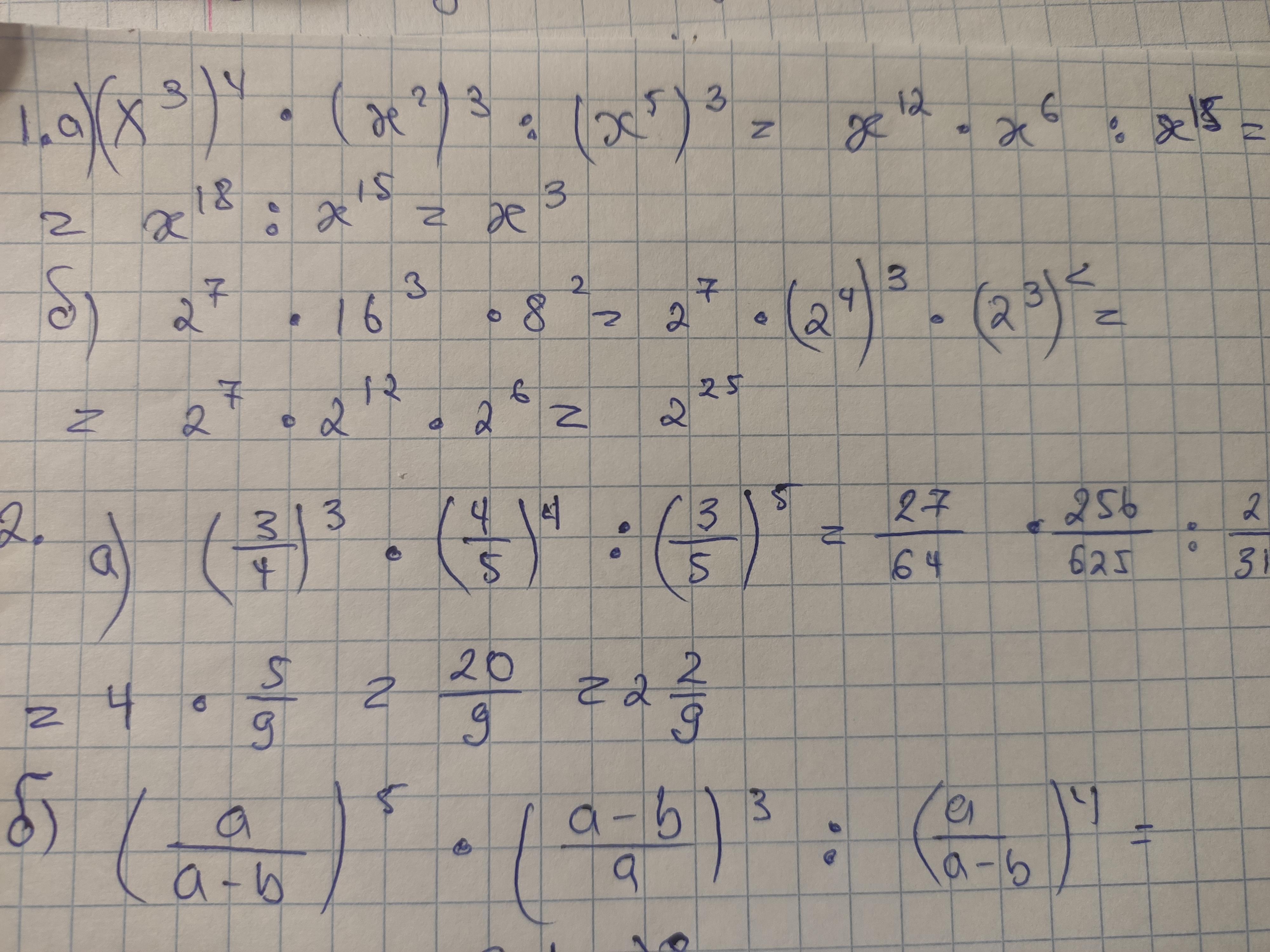
решите пж .срочно! 7-й класс.самостоятельные работы.свойства степени с натуральным показателем.можно решить любой из номеров ,но желательно все

Приложения:

Ответы

Ответ дал: Ariana1303
2

На фото решения только первого задания

Приложения:
Вас заинтересует