• Предмет: Алгебра
  • Автор: rinatkyzykamilla
  • Вопрос задан 3 года назад

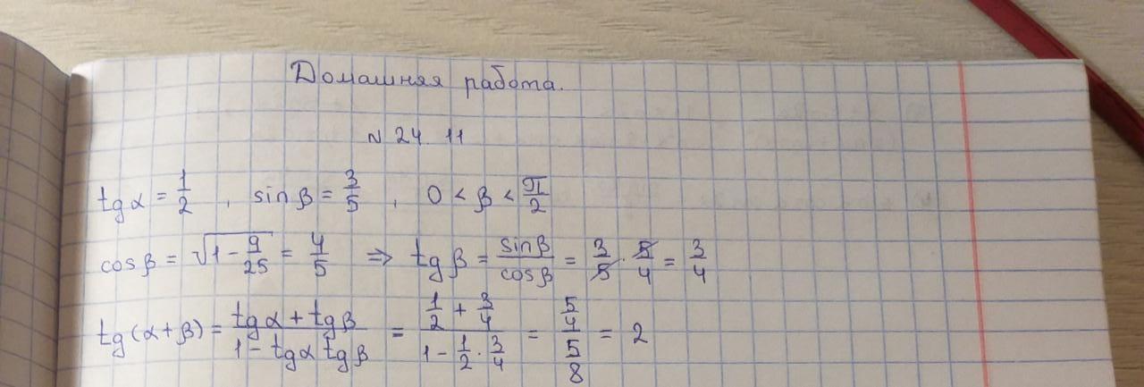
дано: tga=1/2, sinb=3/5, 0<b<pi/2. Найдите tg(a+b)​

Ответы

Ответ дал: toblackblow
1

Ответ:Привет, вот ответы, все правильно

Объяснение:

Приложения:

rinatkyzykamilla: правда это не ты писал, ну да ладно
Вас заинтересует