• Предмет: Математика
  • Автор: ShockNow
  • Вопрос задан 3 года назад

Помогите! Срочно, даю 20 баллов

Приложения:

Аноним: х=14/13

Ответы

Ответ дал: konstantinsnastin
2

Ответ:

14 : 10 = 1,4 = х

Пошаговое объяснение:

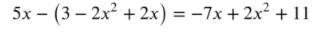
5х - 3 + 2х кв - 2х = 3х -3 + 2х кв = -7х + 2х кв + 11

Перенос:

10х = 14

14 : 10 = 1,4 = х

Если моё решение оказалось верным, я бы хотел Вас попросить отметить мой ответ как лучший, а так же оставить отзыв о качестве моей работы (каким бы он не был). Рад был оказать Вам помощь)

Вас заинтересует