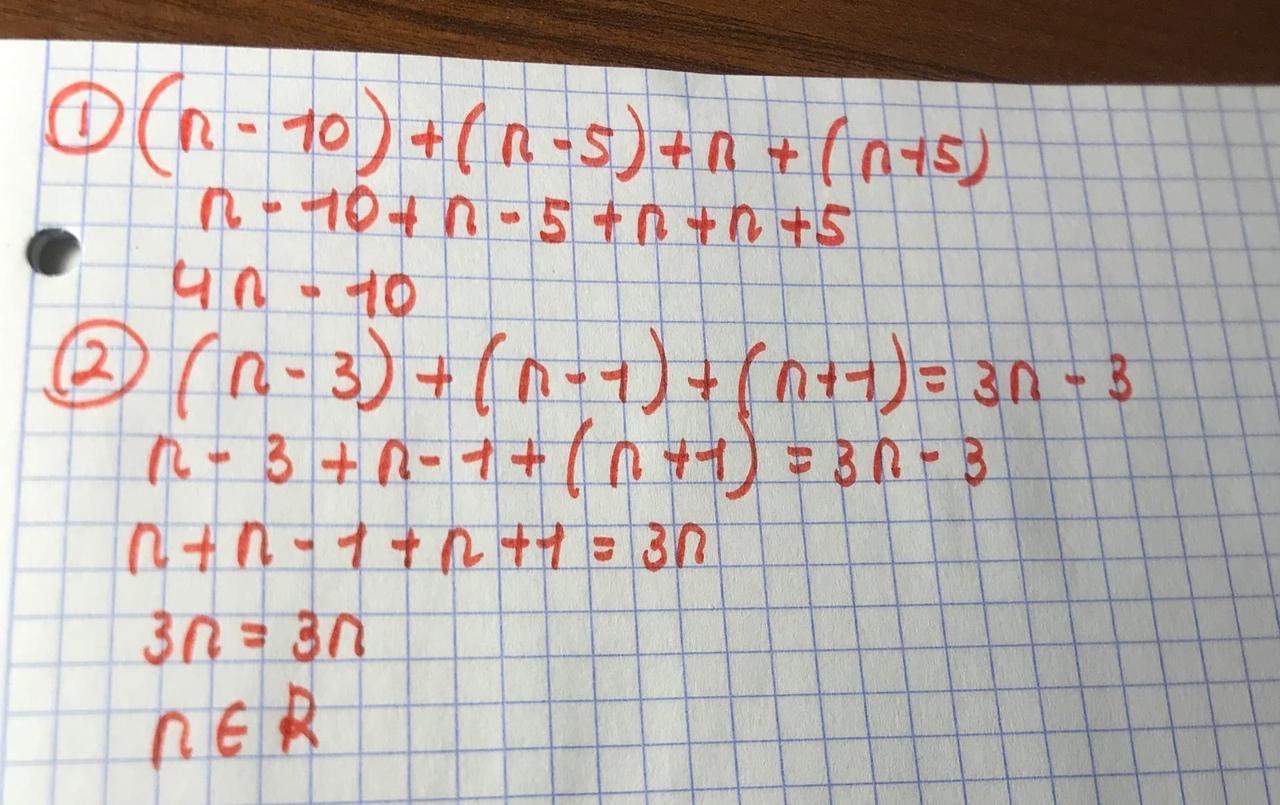
(n-10)+(n-5)+n+(n+5)
Пожалуйста срочно!!!!!! Дам 20 баллов
Аноним:
Упростить или разложить на множители?
(n-3)+(n-1)+(n+1)=3n-3
сократить
Так какое решать?
Которое само задание или то, что ты сейчас написала в комментариях?
Которое само задание или то, что ты сейчас написала в комментариях?
Ответы
Ответ дал:
1
Данный ответ представлен фотографией.
Приложения:
Вас заинтересует
2 года назад
2 года назад
2 года назад
2 года назад
8 лет назад
9 лет назад