• Предмет: Физика
  • Автор: ilyakrylov2500
  • Вопрос задан 3 года назад

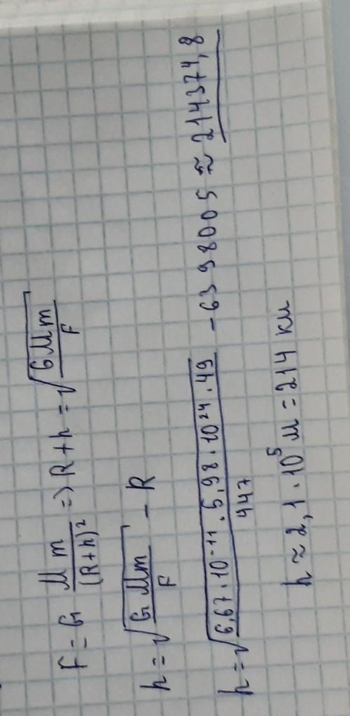
На шарообразное тело массой 49 кг действует сила гравитации, равная 434 Н. На какой высоте над поверхностью Земли находится тело? Радиус Земли считать равным 6371251 м, масса Земли — 5,99⋅1024 кг.

Ответ (округли до целого числа):
км.

Ответы

Ответ дал: msponizhdova
3

Ответ:вот

Объяснение:

Приложения:
Вас заинтересует