• Предмет: Алгебра
  • Автор: mike884411
  • Вопрос задан 3 года назад

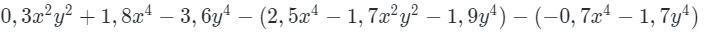
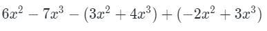
Раскройте скобки и привидите к подобным членам

Приложения:

Ответы

Ответ дал: Bdarina24
0

Ответ:

1.x^2

2.1,4x^2y^2-3,6x^2-3,8y^4

Объяснение:

Ответ дал: parus77
0

Ответ:

Объяснение:

=6х² - 7х³-3х² -4х³ -2х² +3х³= -8х³+х²

=0,3 х²у²+1,8 х⁴-3,6у⁴ -2,5х⁴+1,7х²у²+1,9у⁴ +0,7х⁴+1,7у⁴= 2х²у²

Вас заинтересует