• Предмет: Математика
  • Автор: oleksandra198193
  • Вопрос задан 3 года назад

Допоможіть , спасіть
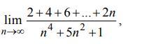
Обчислити границі:

Приложения:

Ответы

Ответ дал: СашаПланк
0

Ответ:

ноль

Пошаговое объяснение:

Вас заинтересует