• Предмет: Математика
  • Автор: vovamnit666
  • Вопрос задан 3 года назад

Только десятое даю 20 балов просто изи балы

Приложения:

Ответы

Ответ дал: kirill6694
1

Пошаговое объяснение:

2 целых 9/12 ИЛИ 33/12

Удачи!


vovamnit666: Спс
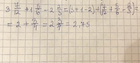
Ответ дал: lemaa
1

Ответ:

2,75

Решение:

Представлено на фото

Приложения:
Вас заинтересует