Ответы
Ответ дал:
1
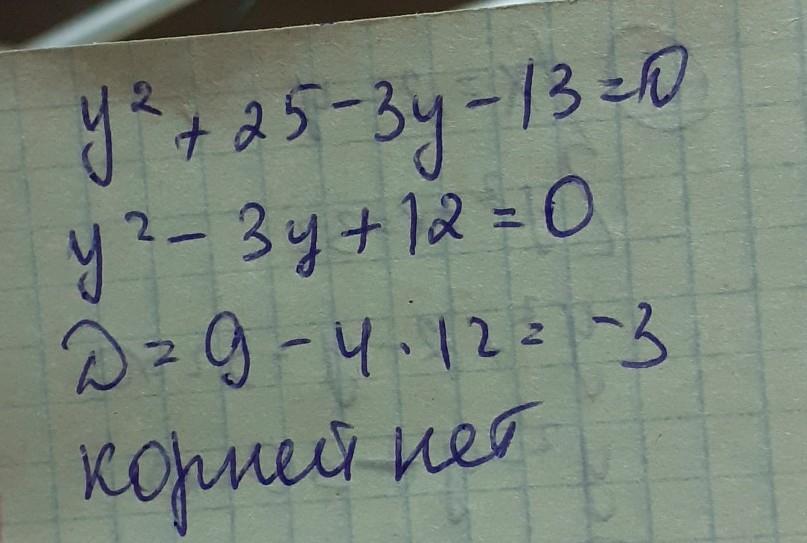
Ответ:
Корней нет
Объяснение:
надеюсь помог)
Приложения:

vityamath:
* действительных
Ответ дал:
1
Ответ:
НЕТ ДЕЙСТВИТЕЛЬНЫХ КОРНЕЙ!!!!
Объяснение:
А следовательно, данное уравнение не имеет действительных корней
Вас заинтересует
2 года назад
2 года назад
2 года назад
7 лет назад
9 лет назад