Ответы
Ответ дал:
1
1. (187)
Запишем равнодействующую сил действующих на тело по оси ОХ в начале движения
Fтр=ma
Fтр=kmg
kmg=a |:m
kg=a , где k коэффициент трения c другой стороны ускорение это
a=(v0-v)/t
Где v0-начальная скорость, v1-конечная скорость =0, так как тело остановилось
t-время пути =40с
a=(v0-0)/40 =v0/40 => v0=40a Подставим значения а
V0=40a=40kg=40*0.05*9.8=19.6 м/с
Ответ: 19.5м/с
2.(189)
Решение:
F=мmg=ma
a=мg
а=0,6*10=6м/с2
Ответ: 6м/с2
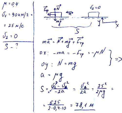
3.(190)
Решение 3-го пункта в фотографии
4.(191)
В 4-ой задаче нет никаких данных, и их нет на фотографии (скриншот), так что извините, но на 4-й пункт я к сожалению не могу ответить.
Запишем равнодействующую сил действующих на тело по оси ОХ в начале движения
Fтр=ma
Fтр=kmg
kmg=a |:m
kg=a , где k коэффициент трения c другой стороны ускорение это
a=(v0-v)/t
Где v0-начальная скорость, v1-конечная скорость =0, так как тело остановилось
t-время пути =40с
a=(v0-0)/40 =v0/40 => v0=40a Подставим значения а
V0=40a=40kg=40*0.05*9.8=19.6 м/с
Ответ: 19.5м/с
2.(189)
Решение:
F=мmg=ma
a=мg
а=0,6*10=6м/с2
Ответ: 6м/с2
3.(190)
Решение 3-го пункта в фотографии
4.(191)
В 4-ой задаче нет никаких данных, и их нет на фотографии (скриншот), так что извините, но на 4-й пункт я к сожалению не могу ответить.
Приложения:
Вас заинтересует
2 года назад
2 года назад
3 года назад
3 года назад
8 лет назад
8 лет назад
9 лет назад