• Предмет: Алгебра
  • Автор: 1Kolucka1
  • Вопрос задан 3 года назад

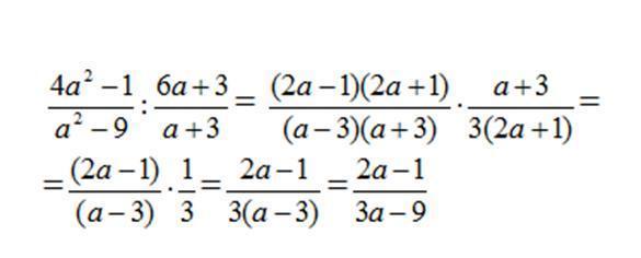
Помогите решить это, надо сократить выражение до дроби

Приложения:

Ответы

Ответ дал: HelpMe20019
1

Ответ:

Объяснение:

решение в прикреплённом файле.

Приложения:
Вас заинтересует