Не знаю, как решать, ответ есть и половина решения, подскажите, что дальше делать.
Должно получиться 1. А как?
Приложения:

Ответы
Ответ дал:
0
НИГМА ХОРОШАЯ ВЕЩЬ В УМЕЛЫХ РУКАХ.
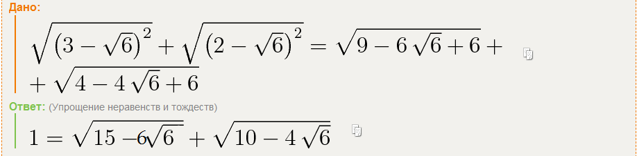
((3-√6)^2)^1/2+((2-√6)^2)^1/2=|3-√6|+|2-√6|=3-√6+√6-2=1
((3-√6)^2)^1/2+((2-√6)^2)^1/2=|3-√6|+|2-√6|=3-√6+√6-2=1
Вас заинтересует
2 года назад
8 лет назад
8 лет назад
10 лет назад
10 лет назад
10 лет назад