• Предмет: Алгебра
  • Автор: fenneku4
  • Вопрос задан 3 года назад

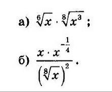
Представьте в виде степени с основанием X.

Приложения:

Ответы

Ответ дал: Universalka
1

1)\sqrt[6]{x}*\sqrt[8]{x^{3}}=x^{\frac{1}{6}}*x^{\frac{3}{8}}=x^{\frac{1}{6}+\frac{3}{8}}=x^{\frac{4+3*3}{24}}=x^{\frac{13}{24}}\\\\\\2)\frac{x*x^{-\frac{1}{4}}}{(\sqrt[8]{x} )^{2}}=\frac{x^{1-\frac{1}{4}}}{\sqrt[4]{x}}=\frac{x^{\frac{3}{4}}}{x^{\frac{1}{4}}} =x^{\frac{3}{4}-\frac{1}{4}}=x^{\frac{1}{2}}

Вас заинтересует